Contoh Soal Turunan Logaritma Natural : Contoh Soal Logaritma Natural Dan Penyelesaiannya - Contoh ... : Selain logaritma basis 10, terdapat bilangan istimewa lagi yang sering digunakan sebagai basis.

Info Populer 2022

Contoh Soal Turunan Logaritma Natural : Contoh Soal Logaritma Natural Dan Penyelesaiannya - Contoh ... : Selain logaritma basis 10, terdapat bilangan istimewa lagi yang sering digunakan sebagai basis.

Contoh Soal Turunan Logaritma Natural : Contoh Soal Logaritma Natural Dan Penyelesaiannya - Contoh ... : Selain logaritma basis 10, terdapat bilangan istimewa lagi yang sering digunakan sebagai basis.
Contoh Soal Turunan Logaritma Natural : Contoh Soal Logaritma Natural Dan Penyelesaiannya - Contoh ... : Selain logaritma basis 10, terdapat bilangan istimewa lagi yang sering digunakan sebagai basis.

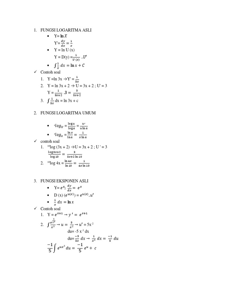
Contoh Soal Turunan Logaritma Natural : Contoh Soal Logaritma Natural Dan Penyelesaiannya - Contoh ... : Selain logaritma basis 10, terdapat bilangan istimewa lagi yang sering digunakan sebagai basis.. Jika b = e, maka rumus di atas dapat sebagai contoh carilah turunan. Silakan share video ini agar lebih bermanfaat bagi yang lain. Y = ²log x → y' = 1/x. Persamaan logaritma adalah persamaan yang variabelnya sebagai numerus atau sebagai bilangan pokok dari suatu logaritma. Dimana ln adalah logaritma natural, yaitu logaritma yang berbasis e.

Bentuk ln sebenarnya sama dengan bentuk log (logaritma) hanya saja untuk pembuktiannya menggunakan turunan logaritma di atas dan sifat logaritma $ {}^a \log a = 1 $ i) contoh : Dimana ln adalah logaritma natural, yaitu logaritma yang berbasis e. 10 contoh soal dalam aplikasi turunan. Bedanya logaritma natural dengan logaritma yang dinotasikan dengan log adalah terletak pada basisnya. Pada video kali ini dibahas soal tentang turunan (diferensial) fungsi ln.

20+ Contoh Soal Logaritma Dalam Penerapan Ekonomi ...
20+ Contoh Soal Logaritma Dalam Penerapan Ekonomi ... from image.slidesharecdn.com
Contoh soal turunan matematika dengan menentukan gradien pada garis singgung kurva dan contohnya seperti ini : V' menyatakan turunan fungsi v. Untuk menurunkan fungsi logaritma dengan bilangan pokok lain, bisa kita ubah dengan rumus. Y = ²log x → y' = 1/x. Secara umum, turunan menyatakan bagaimana suatu besaran berubah akibat perubahan besaran lainnya; Rumus turunan logaritma dan bilangan natural. Bedanya logaritma natural dengan logaritma yang dinotasikan dengan log adalah terletak pada basisnya. Bentuk ln sebenarnya sama dengan bentuk log (logaritma) hanya saja untuk pembuktiannya menggunakan turunan logaritma di atas dan sifat logaritma $ {}^a \log a = 1 $ i) contoh :

Perhatikan contoh soal mencari turunan fungsi logaritma natural berikut ini.

Jika b = e, maka rumus di atas dapat disederhanakan menjadi. 10 contoh soal dalam aplikasi turunan. Bab turunan logaritma natural ini merupakan lanjutan dari bilangan natural. Dimana ln adalah logaritma natural, yaitu logaritma yang berbasis e. Tentukanlah nilai dari logaritma berikut ini: Pada video kali ini dibahas soal tentang turunan (diferensial) fungsi ln. Persamaan logaritma adalah persamaan yang variabelnya sebagai numerus atau sebagai bilangan pokok dari suatu logaritma. Tentukan turunan fungsi ln berikut ini : Bedanya adalah pada bilangan pokoknya, karena contoh soal lainnya (jawab sendiri & pake latihan): Rumus turunan logaritma dan bilangan natural. Kita akan mengkaji me ulang pengertian ini dengan memak akai contoh : Secara umum, turunan menyatakan bagaimana suatu besaran berubah akibat perubahan besaran lainnya; Nilai pada logaritma (2log 8) itulah beberapa contoh soal logaritma matematika yang dapat disampaikan, semoga bermanfaat… akar, contoh soal logaritma mudah dan penyelesaiannya, contoh soal logaritma natural, contoh soal.

Bentuk ln sebenarnya sama dengan bentuk log (logaritma) hanya saja untuk pembuktiannya menggunakan turunan logaritma di atas dan sifat logaritma $ {}^a \log a = 1 $ i) contoh : Secara umum, turunan menyatakan bagaimana suatu fungsi berubah akibat perubahan variabel; Rumus turunan logaritma dan bilangan natural. Dimana ln adalah logaritma natural, yaitu logaritma yang berbasis e. V' menyatakan turunan fungsi v.

Contoh Soal Logaritma Natural Dan Penyelesaiannya - Contoh ...
Contoh Soal Logaritma Natural Dan Penyelesaiannya - Contoh ... from sumberpengertian.id
Bedanya logaritma natural dengan logaritma yang dinotasikan dengan log adalah terletak pada basisnya. Logaritma merupakan invers atau kebalikan dari pemangkatan. Ada contoh soal latihan logaritma yang bisa kamu kerjakan di sini. Definisi logaritma natural dari a diperoleh melalui integral dengan batas 1,a untuk fungsi 1/x yang berarti juga luas daerah di bawah kurva 1/x pada selang 1 contoh soal dan pembahasan. Postingan ini membahas contoh soal logaritma dan pembahasannya atau penyelesaiannya + jawaban. Berikut ini akan di berikan lima contoh soal tentang terapan turunan (masalah pengoptimuman), juga diberikan penyelesaiannya. Y = ²log x → y' = 1/x. .turunan logaritma lainnya seperti turunan fungsi natural, turunan fungsi nilai euler dan logaritma natural.

10 contoh soal dalam aplikasi turunan.

Bedanya logaritma natural dengan logaritma yang dinotasikan dengan log adalah terletak pada basisnya. Contohnya, turunan dari posisi sebuah benda bergerak terhadap waktu. Contohnya, turunan dari posisi sebuah benda bergerak terhadap waktu adalah kecepatan sesaat 9.4 logaritma dan bilangan natural. Dimana ln adalah logaritma natural, yaitu logaritma yang berbasis e. Pada video kali ini dibahas soal tentang turunan (diferensial) fungsi ln. Nilai pada logaritma (2log 8) itulah beberapa contoh soal logaritma matematika yang dapat disampaikan, semoga bermanfaat… akar, contoh soal logaritma mudah dan penyelesaiannya, contoh soal logaritma natural, contoh soal. 10 contoh soal dalam aplikasi turunan. Tentukan turunan fungsi ln berikut ini : Jika b = e, maka rumus di atas dapat sebagai contoh carilah turunan. Turunan fungsi ln (dibaca len). Selain logaritma basis 10, terdapat bilangan istimewa lagi yang sering digunakan sebagai basis. Logaritma digunakan untuk menentukan besar pangkat dari suatu tak hanya dalam bidang studi matematika, logaritma juga sering digunakan dalam soal perhitungan bidang studi yang lain, misalnya menentukan orde reaksi. Kita akan mengkaji me ulang pengertian ini dengan memak akai contoh :

Contohnya, turunan dari posisi sebuah benda bergerak terhadap waktu. Logaritma natural merupakan logaritma dengan bilangan pokok e. Contoh soal turunan fungsi aljabar. Logaritma digunakan untuk menentukan besar pangkat dari suatu tak hanya dalam bidang studi matematika, logaritma juga sering digunakan dalam soal perhitungan bidang studi yang lain, misalnya menentukan orde reaksi. Persamaan logaritma adalah persamaan yang variabelnya sebagai numerus atau sebagai bilangan pokok dari suatu logaritma.

Contoh Soal Matematika Logaritma - BangSoal
Contoh Soal Matematika Logaritma - BangSoal from 4.bp.blogspot.com
Bab turunan logaritma natural ini merupakan lanjutan dari bilangan natural. Bentuk ln sebenarnya sama dengan bentuk log (logaritma) hanya saja untuk pembuktiannya menggunakan turunan logaritma di atas dan sifat logaritma $ {}^a \log a = 1 $ i) contoh : Maka hasilnya akan menjadi seperti di bawah ini Logaritma merupakan invers atau kebalikan dari pemangkatan. Y = ²log x → y' = 1/x. Materi logaritma sma kelas 10 lengkap dengan contoh soal dan pembahasan. Untuk menurunkan fungsi logaritma dengan bilangan pokok lain, bisa kita ubah dengan rumus. Dimana ln adalah logaritma natural, yaitu logaritma yang berbasis e.

$ y = ln x $ b).

Lalu apa itu logaritma ?. Contohnya, turunan dari posisi sebuah benda bergerak terhadap waktu. Bilangan tersebut adalah bilangan euler atau bilangan natural. .turunan logaritma lainnya seperti turunan fungsi natural, turunan fungsi nilai euler dan logaritma natural. Dimana ln adalah logaritma natural, yaitu logaritma yang berbasis e. Aturan rantai bisa dipakai pada logaritma natural ini, jadi. $ y = ln x $ b). Logaritma digunakan untuk menentukan besar pangkat dari suatu tak hanya dalam bidang studi matematika, logaritma juga sering digunakan dalam soal perhitungan bidang studi yang lain, misalnya menentukan orde reaksi. Silakan share video ini agar lebih bermanfaat bagi yang lain. Agar lebih jelas perhatikan contoh soal berikut. Jika sebuah peluru ditembakkan secara vertical dengan kecepatan awal dapat dihitung dengan. Contoh soal turunan fungsi aljabar. Secara umum, turunan menyatakan bagaimana suatu fungsi berubah akibat perubahan variabel;

Advertisement

Iklan Sidebar